
Анализирование информации, представленной в виде схем
Штана Альберт Игоревич
В этой статье будет разобрано задание 9.
Рассмотрим типовые задачи из девятого задания ОГЭ по информатике.
Данное задание относится к повышенному уровню сложности.
Время выполнения задания ≈ 4 минуты.
Прежде чем решать задачи, полезно знать теорию(ссылка на статью ниже):
Ссылка на статью: Теория графов.
Дана схема дорог, связывающих города А, Б, В, Г, Д, Е, Ж, И, К, Л, М. По каждой дороге можно двигаться только в направлении, указанном стрелкой. Сколько возможно различных путей из города А в город М?






Ответ: 14
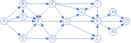
На рисунке представлена схема дорог, связывающих пункты A,B,C,D,E,F,G,H,I,J,K,L,M,N,O. По каждой дороге можно передвигаться только в направлении, указанном стрелкой. Сколько существует различных путей из пункта А в пункт О, проходящих через пункт L?


В результате получаем схему:


Ответ: 30
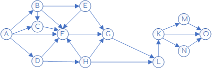
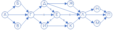
На рисунке — схема дорог, связывающих города A,B,C,D,E,F,G,H,I,J,K,L,M. По каждой дороге можно двигаться только в одном направлении, указанном стрелкой. Сколько существует различных путей, ведущих из города A в город M и проходящих через пункт D или через пункт F, но не через оба этих пункта?


Количество возможных путей вычисляется как обычно. Всего — 75 путей.

Всего — 70 путей.

Всего — 60 путей.

Удвоенное — поэтому что количество путей через D и F было один раз подсчитано в составе всех путей через D, а затем ещё один раз подсчитано в составе всех путей через F, а нам нужно исключить из рассмотрения оба этих подсчёта. 75 + 70 - 2 ⋅ 60 = 25.
Ответ: 25
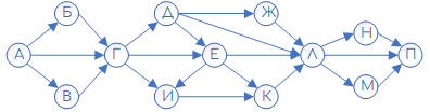
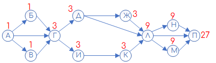
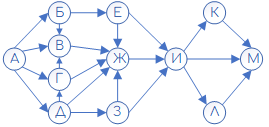
На рисунке – схема дорог, связывающих пункты А, Б, В, Г, Д, Е, Ж, И, К, Л, М, Н, П. Сколько существует различных путей из пункта А в пункт П, не проходящих через пункт Е?



Ответ: 27
На рисунке - схема дорог, связывающих города А, Б, В, Г, Е, Ж, К, Л, М. По каждой дороге можно двигаться в одном направлении, указанном стрелкой. Какая наибольшая длина пути из А в М?

В этой задаче отличается вопрос от привычного нахождения количества путей. Здесь нужно найти наибольшую длину пути из начального пункта в конечный. Возле начальной точки ставим число 0. Далее по очереди для точек смотрим сколько входит в узел стрелок. Выбираем стрелку, которая идёт из узла с наибольшим числом и при переходе по стрелочке добавляем 1.

Число, которое получится возле конечной точки и будет ответом. В этой задачке получилось 7.
Ответ: 7
На рисунке – схема дорог, связывающих города A, B, C, D, E, F, G, H. По каждой дороге можно двигаться только в одном направлении, указанном стрелкой. Сколько существует различных путей из города А в город H?

При решении задачи применяем классическую технику по поиску путей из задачи 1.

Ответ: 10
На рисунке – схема дорог, связывающих города A, B, C, D, E, F, G, H.

По каждой дороге можно двигаться только в одном направлении, указанно стрелкой. Сколько существует различных путей из города А в город H?
При решении задачи применяем классическую технику по поиску путей из задачи 1.

Ответ: 10